Calculate Inductance of Electrode or Straight Wire

Enter value and click on calculate. Result will be displayed.

Enter your values:

Length of Wire:
Inches
Diameter of Wire:
Inches

Result:

Inductance:
uH

What is the Inductance of an Electrode or Straight Wire Calculator?

An Inductance Calculator for an Electrode or Straight Wire is a tool used to determine the inductance of a straight conductor based on its length, diameter, and surrounding medium. This is crucial in electromagnetic, electrical, and RF engineering where inductance impacts signal transmission and circuit behavior.


Why Use an Inductance Calculator for a Straight Wire?

  • To analyze high-frequency signal integrity (important in RF, antennas, and PCB design).
  • To minimize inductive reactance in power transmission and grounding systems.
  • To ensure proper wire sizing in power electronics.
  • To predict and reduce EMI (Electromagnetic Interference) in sensitive circuits.

How Does the Calculator Work?

The inductance of a straight wire is calculated using standard inductance formulas, depending on the wire's length and radius:

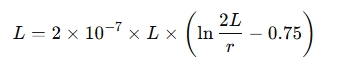
1. Inductance of a Straight Wire in Free Space

For a straight conductor of length L and radius r:

Where:

  • L= Length of the wire (meters)
  • r= Radius of the wire (meters)
  • ln⁡= Natural logarithm

2. Inductance with Ground Plane Consideration

For a wire above a conducting plane, an adjustment factor is applied based on the height h from the plane.

3. Inductance for Wires in Transmission Lines

For parallel wires (like twin-lead transmission lines), the mutual inductance and separation distance impact the calculation.


When to Use an Inductance Calculator for a Straight Wire?

  • In RF and Antenna Design: To optimize wire geometry for minimal signal loss.
  • In PCB Layout and High-Speed Circuits: To reduce unwanted inductance affecting signals.
  • In Power Distribution Systems: To evaluate the effect of wire inductance on voltage drops.
  • In Grounding and Lightning Protection: To estimate grounding electrode inductance.
Did this Calculator help you?
Thanks for the feedback
We're sorry. :(
What went wrong?
About This Calculator
Created at  2024/12/6
Updated :
Views :
Author:
Send message to authors:
Search for Calculator

Explore thousands of free calculators trusted by millions worldwide.


Useful Calculator