Radioactive Decay Calculator
Enter value and click on calculate. Result will be displayed.
What is a Radioactive Decay Calculator?
A Radioactive Decay Calculator is a tool used to determine the remaining amount of a radioactive substance over time, based on its half-life. It follows the principles of exponential decay and helps in predicting the decay of radioactive isotopes in various fields such as nuclear physics, medicine, archaeology, and environmental science.
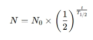
The general formula for radioactive decay is:
where:
- N = Remaining quantity of the substance after time t
- N₀ = Initial quantity of the substance
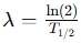
- λ= Decay constant, given by

- T1/2= Half-life of the substance
- t= Time elapsed
Alternatively, using half-life:
Why Use a Radioactive Decay Calculator?
- Accurate Predictions: Helps determine how much of a radioactive substance remains after a certain time.
- Essential in Radiometric Dating: Used in archaeology and geology to estimate the age of fossils, rocks, and artifacts.
- Crucial in Nuclear Physics & Engineering: Helps in nuclear reactor control, waste management, and radiation shielding calculations.
- Medical Applications: Used in radiotherapy, medical imaging, and radioactive drug dosage calculations.
- Environmental & Safety Monitoring: Assesses radiation exposure and contamination levels.
How Does a Radioactive Decay Calculator Work?
-
Input Required:
- Initial quantity (N₀) of the radioactive material.
- Half-life (T1/2) of the isotope.
- Elapsed time (t) for which the decay needs to be determined.
-
Processing:
- Uses the exponential decay formula to calculate the remaining quantity (N).
- Determines how much material has decayed over the given period.
-
Output:
- Remaining quantity (N) after time t.
- Percentage decay or activity levels if required.
When to Use a Radioactive Decay Calculator?
- In Archaeology & Geology: To estimate the age of ancient artifacts, fossils, and rocks using radiocarbon dating.
- In Medicine & Healthcare: For radiation therapy planning and radioactive tracer studies in imaging.
- In Nuclear Science & Engineering: To predict the decay of nuclear fuel, waste, and radiation exposure levels.
- In Space Exploration: For understanding isotope decay in radioactive power sources used in space probes.
- In Environmental Science: To track radioactive pollution and assess contamination risks.
Did this Calculator help you?
Thanks for the feedback
Search for Calculator
Explore thousands of free calculators trusted by millions worldwide.