Calcolatori della primavera elicoidale

➤ Calcola indice della molla
➤ Calcola totalità totale di taglio
➤ Calcola deviazione assiale della molla
➤ Calcola la velocità di molla

Calcola indice della molla


c = indice della molla
d = diametro della molla
d = diametro del filo

Inserisci i tuoi valori:

diametro della molla (D):
m
diametro del filo (d):
m

Risultato:

indice molla a molla (C):

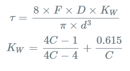
Calcola totalità totale di taglio


τ = stress di taglio totale
f = forza assiale
d = diametro della molla
d = diametro del filo
k w = fattore wahl
c = indice della molla

forza assiale (F):
diametro della molla (D):
diametro del filo (d):

Risultato:

totaleStress di taglio (t):
Newton/Meter2
INDICE Spring (C):
Wahl Factor (Kw):

Calcola deviazione assiale della molla


Δ = Deflezione assiale a molla
F = forza assiale
d = diametro del filo
n = numero di bobine attive
g = modulo di rigidità
c = indice della molla

Inserisci i tuoi valori:

forza (F):
N
Spring Diametro (D):
m
Diametro del filo (d):
m
Numero di bobine attive (N):
Modulo di rigidità (G):
N / m2

Risultato:

Deflezione assiale a molla (δ):

Calcola la velocità di molla


k = tasso di molla
d = diametro del filo
n = numero di bobine attive
g = modulo di rigidità
c =Index a molla

Inserisci i tuoi valori:

Diametro a molla (D):
m
Diametro del filo (d):
m
Modulo di rigidità (G):
N / m2
Numero di bobine attive (N):

Risultato:

Tasso di molla (K):

Cos'è un calcolatore a molla elicoidale?

A Calcolatrice a molla elicoidale è uno strumento utilizzato per calcolare varie proprietà di una molla elicoidale, come la sua rigidità, deflessione e costante della molla, in base a parametri di input specifici. Le molle elicoidali, comunemente usate nei sistemi meccanici per l'accumulo di energia, l'assorbimento di ammortizzatori o lo sforzo di forza, sono in genere realizzate in filo a spirale che possono essere tensi o compressi. Il calcolatore utilizza formule dalla meccanica della molla per determinare il comportamento della molla sotto carico.


Perché utilizzare un calcolatore a molla elicoidale?

Utilizzeresti un calcolatore a molla elicoidale per diversi motivi:

  • Spring Design : aiuta gli ingegneri a progettare molle con le caratteristiche corrette (rigidità, capacità di carico, ecc.) Per unApplicazione particolare, come in sospensioni automobilistiche, macchine industriali o dispositivi elettronici.
  • Analisi del carico preciso : per determinare quanta forza una molla può gestire senza rompere o deformarsi permanentemente, garantendo che la molla funzioni nei suoi limiti sicuri.
  • ottimizzazione : quando si ottimizza le prestazioni di un sistema meccanico, il calcolatore può aiutare a scegliere la dimensione e il materiale della molla corretti per soddisfare i requisiti specifici della forza e della deflessione.
  • Risoluzione dei problemi : per sostituire o riparare le molle nei sistemi esistenti, il calcolatore può aiutare a determinare le caratteristiche della molla appropriate necessarie.

Come fa il calcolatore a molla elicoidaleLavoro?

A calcolatore a molla elicoidale in genere prende i seguenti input:

  • Proprietà del materiale primaverile : il modulo di rigidità (modulo di taglio) del materiale primaverile.
  • diametro del filo : lo spessore del filo da cui è realizzata la molla.
  • Diametro a molla (D) : il diametro esterno della bobina a molla.
  • Numero di bobine (N) : il numero totale di bobine attive in primavera.
  • carico applicato (f) : la forza esercitata sulla molla.
  • lunghezza o deflessione : la lunghezza totale della molla quando compresso or allungato.

Quando utilizzare un calcolatore a molla elicoidale?

useresti un calcolatore a molla elicoidale nelle seguenti situazioni:

    ;
  1. Selezione di molle per i sistemi esistenti : quando si sceglie una molla di sostituzione per una macchina, un veicolo o una struttura, per abbinare le caratteristiche del carico richieste.
  2. Selezione materiale : per aiutare a scegliere il materiale a molla giusto calcolandolos stress e deflessione per assicurarsi che non fallisca in condizioni operative normali.
Questa calcolatrice ti è stata utile?
Grazie per il feedback
Siamo spiacenti. :(
Cosa è andato storto?
Informazioni su questa calcolatrice
Creato il  2024/12/26
Aggiornato :
Visualizzazioni :
Autore:
Invia messaggio agli autori:
Calcolatrice di ricerca

Esplora migliaia di calcolatrici gratuite di cui si fidano milioni di persone in tutto il mondo.


Calcolatrice utile