Calcolatrice della bobina a strato singolo

Inserisci il valore e fai clic su calcola. Verrà visualizzato il risultato.

Inserisci i tuoi valori:

diametro :
mm
lunghezza :
mm
induttanza :
µH

Risultato:

no delle curve :
indicatore di filo standard :

Che cos'è un calcolatore a bobina a strato?

A Calcolatrice a bobina a singolo strato è uno strumento utilizzato per determinare l'induttanza (L) di una ferita a spirale in un singolo strato. È essenziale per la progettazione di circuiti, trasformatori e elettromagneti .

.


Perché utilizzare un calcolatore a bobina a livello singolo?

  1. Calcolo di induttanza accurato - Aiuta a progettare bobine per applicazioni a radiofrequenza (RF).
  2. Antenna e RF Circuit Design - Utilizzato per produrre induttori in circuiti, filtri e antenne sintonizzati .
  3. trasferimento di potenza efficiente - Garantisce le bobinesono ottimizzati per la frequenza e l'impedenza desiderati.
  4. Selezione componente - Aiuta a scegliere la dimensione del filo, le dimensioni della bobina e le curve giuste.

Come funziona un calcolatore a bobina a strato?

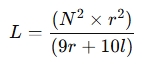
Usa la formula di Wheeler di Wheeler per stimare l'induttanza:

Dove:

  • l = induttanza (µH)
  • n = numero di turni
  • r = raggio della bobina (pollici)
  • l = lunghezza della bobina (pollici)

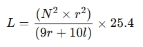
Per le unità metriche, la formula è:

Quando utilizzare un calcolatore a bobina a livello singolo?

  • per la progettazione di bobine RF in antenne, oscillatori e filtri.
  • nei sistemi di ricarica wireless per ottimizzare l'induttanza.
  • Per la creazione di elettromagneti fai -da -te con specifiche intensità del campo magnetico.
  • nei circuiti di sintonia per ottenere la frequenza di risonanza desiderata.
Questa calcolatrice ti è stata utile?
Grazie per il feedback
Siamo spiacenti. :(
Cosa è andato storto?
Informazioni su questa calcolatrice
Creato il  2024/12/30
Aggiornato :
Visualizzazioni :
Autore:
Invia messaggio agli autori:
Calcolatrice di ricerca

Esplora migliaia di calcolatrici gratuite di cui si fidano milioni di persone in tutto il mondo.


Calcolatrice utile