伸び値換算計算機

値を入力して計算をクリックします。結果が表示されます。
(上記の変換はオーステナイト鋼用で、EN ISO 2566-2 に準拠した計算式です)

値を入力してください:

非比例 1

ゲージ長さに対する伸び率 (A):
%
長さ (L0):
mm
幅:
mm
厚さ:
mm

非比例2

長さ (L0):
mm
幅:
mm

結果:

非比例 2

ゲージ長さに対する伸び率 (A):
%

比例

ゲージ長さに対する伸び率 (A):
%
長さ (L0):
mm
幅:
mm

伸び値変換計算機とは何ですか?

伸び値変換計算機は、材料科学およびエンジニアリングで、異なるゲージ長間で伸び値を変換するために使用されるツールです。伸びは、材料が破断するまでに伸びる量を、元の長さのパーセンテージで表したものです。

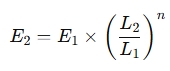
業界によって異なるゲージ長 (50 mm、80 mm、200 mm など) が使用されるため、テスト結果を一貫して比較するには変換が必要です。 経験的変換式は次のとおりです:

ここで:

  • E1= ゲージ長 L1 での伸び
  • E2= ゲージ長 L2 での伸び
  • L1、L2= 初期ゲージ長と目標ゲージ長
  • n= 材料依存の指数 (通常は 0.4 ~ 0.7、実験的に決定)

伸び値変換計算機を使用する理由

計算機が便利な理由:

  • 異なる規格 (ASTM、ISO、JIS など) では、異なるゲージ長が使用されます。
  • 材料特性を計算できます。 異なる仕様間での比較が可能です。
  • 金属、ポリマー、複合材料の品質管理に役立ちます
  • エンジニアの設計とテストを支援し、正確な機械的特性を確保します

伸び値変換計算機はどのように機能しますか?

  1. 入力パラメータ: ユーザーは以下を入力します:
    • 元の伸び値 (E1)
    • 元のゲージ長 (L1)
    • 目標ゲージ長 (L2)
    • 材料指数 (n、わかっている場合)
  2. 計算: 計算機は伸び変換式を適用します。
  3. 出力結果: 結果を提供します。 変換された伸び値により、さまざまなテスト基準との互換性が確保されます。

伸び値変換計算機を使用するタイミング

  • 材料テストで異なるゲージ長間の伸びを変換する場合
  • ASTM E8、ISO 6892、JIS Z2241 などの国際標準に準拠する場合
  • エンジニアリング設計中さまざまなソースからの材料特性データを使用する場合
  • 金属、プラスチック、複合材料の製造および品質管理の場合
この計算機は役に立ちましたか?
フィードバックありがとうございます
申し訳ございません. :(
何が問題でしたか?
この計算機について
作成日時  2024/12/17
更新日時 :
閲覧数 :
著者:
著者にメッセージを送信:
計算機を検索

世界中の何百万人ものユーザーが信頼する何千もの無料計算機を探索.


便利な計算機
  • 真の RMS 値とは何ですか? 真の RMS (実効値) 値は、交流電流 (AC) または電圧波形の実効値の数学的測定値です。単純な平均値やピーク値とは異なり...
  • メンズ ウェアの変換とは何ですか? メンズ ウェアの変換とは、異なるサイズ システム間で 服のサイズ を変換するプロセスを指します。これには通常、異なる国や地...
  • ニュートンの第 2 法則計算機とは何ですか? ニュートンの第 2 法則計算機は、ニュートンの運動の第 2 法則に基づいて、物体に作用する力を計算するために使用...
  • K 値とパイプ長さの計算機とは何ですか? K 値とパイプ長さの計算機は、パイプの長さと特性、および流体の流量と特性に基づいて、パイプを流れる流体の圧力降下また...
  • ヘリカル アンテナ 計算機とは何ですか? ヘリカル アンテナ 計算機 は、ヘリカル アンテナの設計や解析に重要なパラメータを計算するために設計されたツールです...
  • ヤング率計算機とは何ですか? ヤング率計算機は、材料のヤング率 (弾性率とも呼ばれます) を決定するために使用されるツールです。ヤング率は、材料の剛性または応...