レンズメーカー方程式計算ツール

値を入力して計算をクリックします。結果が表示されます。

1/f = ( n1/nm - 1 ) ( 1/r1 - 1/r2)
p=1/f
f = 焦点
nl = レンズ材料の屈折率
nm = 周囲媒体の屈折率
r1 = 第 1 面の曲率半径
r2 = 第 2 面の曲率半径
P = レンズのパワー

値を入力してください:

第 1 面の曲率半径:
Cm
第 2 面の曲率半径:
Cm
レンズ材料の屈折率:
m
周囲媒体の屈折率:
m

結果:

焦点:
Cm
レンズのパワー:
Diopters

レンズメーカー方程式計算機とは何ですか?

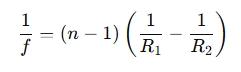
レンズメーカー方程式計算機は、レンズの曲率、屈折率、厚さに基づいてレンズの焦点距離を決定するために使用されるツールです。 レンズメーカーの方程式は次のとおりです:

ここで:

  • f = レンズの焦点距離 (m)
  • n = レンズ材料の屈折率
  • R = 最初のレンズ面の曲率半径 (m)
  • R2 = 2 番目のレンズ面の曲率半径 (m)
  • d = レンズの厚さ (m) (厚いレンズの場合、それ以外の場合は d≈0 )

薄いレンズ (d≈0) の場合、方程式は次のように簡略化されます:

レンズメーカーの方程式計算機を使用する理由

  • 精度: 正確なレンズ設計と焦点距離の計算を保証します。
  • 利便性: 複雑な光学計算を自動化します。
  • 柔軟性: さまざまなレンズ形状 (凸レンズ、凹レンズ、両凸レンズ、平凸レンズなど) で動作します。
  • 光学に不可欠: 眼鏡、顕微鏡、望遠鏡、カメラの設計に使用されます。

レンズメーカーの方程式計算機はどのように機能しますか?

  1. 必要な入力:

    • 屈折率 (n)
    • 曲率半径 (R1 、 R2 )
    • 厚さ (d 、厚いレンズの場合)レンズ)
  2. 処理:

    • レンズメーカーの方程式を適用します。
    • さまざまなケース(薄い/厚いレンズ、収束/発散レンズ)を処理します。
    • 必要に応じて単位を変換します。
  3. 出力:

    • 焦点距離(f)(メートル(またはその他の単位)。

レンズメーカーの方程式計算機を使用するタイミング

  • 物理学と光学:レンズの動作と光学系を理解する。
  • エンジニアリングと製造:カメラの設計レンズ、望遠鏡、顕微鏡、光学機器。
  • アイウェアと視覚科学: 処方レンズの特性の計算。
  • 天文学と写真: 望遠鏡とカメラレンズの焦点距離の決定。
この計算機は役に立ちましたか?
フィードバックありがとうございます
申し訳ございません. :(
何が問題でしたか?
この計算機について
作成日時  2025/2/10
更新日時 :
閲覧数 :
著者:
著者にメッセージを送信:
計算機を検索

世界中の何百万人ものユーザーが信頼する何千もの無料計算機を探索.


便利な計算機
  • モルからグラムへの計算機とは何ですか? モルからグラムへの計算機は、物質の特定の量の モルをそれに相当する グラムに変換するために使用されるツールです。変換に...
  • 分数簡約計算機とは? 分数簡約計算機は、分子と分母の両方を最大公約数 (GCD)で割ることで、分数を最も単純な形式に簡約するツールです。 このツールは、手動...
  • 速度付き電力計算機とは何ですか? 速度付き電力計算機は、物体の速度に基づいてシステムに関連する電力を計算するために使用されるツールです。この場合の電力は、作業...
  • 質量流量計算機とは何ですか? 質量流量計算機は、単位時間あたりにシステム内の特定のポイントを通過する質量の量を決定するために使用されるツールです。工業、機械、...
  • ゲイ・リュサックの法則計算機とは何ですか? ゲイ・リュサックの法則計算機は、ガスの体積と量が一定である場合に、ガスの圧力と温度の関係を判断するために使用される...
  • ルイス ギア強度計算機とは何ですか? ルイス ギア強度計算機は、ルイス曲げ方程式に基づいてギアの歯の曲げ強度を計算するために使用されるツールです。この計算は、...