파이프 수축 계산기

값을 입력하고 계산을 클릭하세요. 결과가 표시됩니다.


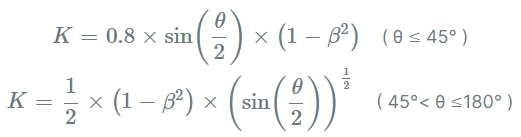
θ = Angle of Approach
β = dminor / dmajor

값을 입력하세요:

접근 각도:

(다음보다 작은 각도를 입력하세요 180°)
β:

결과:

K 값:

파이프 수축 계산기란?

파이프 수축 계산기는 유체가 파이프 수축을 통과할 때 속도와 압력과 같은 흐름 특성의 변화를 계산하는 데 사용되는 도구입니다. 파이프 수축은 파이프의 직경이 감소하여 유체 흐름에 변화를 일으킬 때 발생합니다. 이 계산기는 파이프가 수축할 때 속도, 압력 강하 및 기타 중요한 매개변수를 결정하는 데 도움이 되며, 이는 특히 HVAC, 물 분배 및 산업 공정에서 유체 시스템을 설계하고 분석하는 데 중요합니다.


파이프 수축 계산기를 사용하는 이유는?

  1. 유량 분석: 엔지니어가 유체가 파이프의 수축된 부분을 흐를 때 어떻게 작동하는지 이해하는 데 도움이 되며 효율적인 시스템을 설계하는 데 도움이 됩니다.
  2. 압력 강하 추정: 계산기는 수축으로 인한 압력 강하를 추정할 수 있으며, 이는 올바른 펌프를 선택하고 시스템이 효율적으로 작동하는 데 중요합니다.
  3. 효율성 최적화: 수축이 흐름에 어떤 영향을 미치는지 이해함으로써 엔지니어는 에너지 손실을 최소화하고 성능을 최적화하는 시스템을 설계할 수 있습니다.
  4. 안전성: 파이프 수축의 영향을 정확하게 계산하면 캐비테이션이나 과도한 압력 손실로 인해 시스템 고장이 발생할 수 있습니다.
  5. 시간 절약: 파이프 수축과 관련된 복잡한 계산을 자동화하여 설계 및 분석 프로세스를 가속화합니다.

언제 파이프 수축 계산기를 사용해야 합니까?

  • 유체 수송 시스템을 설계할 때: 유체가 수축된 섹션(예: 밸브, 노즐)을 통과할 때 어떻게 작동하는지 이해하여 파이프 시스템을 설계하는 데 도움이 됩니다.
  • 펌프 선택 시: 수축으로 인한 압력 강하는 펌프 크기와 용량에 영향을 미칠 수 있으며, 계산기는 올바른 펌프를 선택하는 데 도움이 됩니다.
  • 파이프 레이아웃 최적화 시: 수축이 흐름과 압력에 어떤 영향을 미치는지 이해하면 파이프 레이아웃을 최적화하여 에너지 손실을 최소화하는 데 도움이 됩니다.
  • 에너지 효율 분석 시: 유체 시스템의 효율성을 평가할 때 중요한데, 과도한 수축은 압력 손실과 에너지 소비를 증가시킬 수 있기 때문입니다.
  • 문제 해결에서: 시스템에서 유량이 낮거나 에너지 소비가 높은 경우, 계산기는 수축이 불필요한 압력 강하를 일으키는지 확인하는 데 도움이 됩니다.
이 계산기가 도움이 되셨나요?
피드백 감사합니다
죄송합니다. :(
무슨 문제가 있었나요?
이 계산기에 대한 정보
생성됨  2025/2/11
업데이트됨 :
조회수 :
작성자:
작성자에게 메시지 보내기:
검색 계산기

전 세계 수백만 명이 신뢰하는 수천 개의 무료 계산기를 탐색하세요.


유용한 계산기
  • 다음 이용 약관은 모든 사용자가 회사의 웹사이트, 서비스, 제품 및 애플리케이션(이하 서비스 )을 사용하는 데 적용됩니다. 서비스를 사용하거나...
  • F-테스트 계산기란 무엇입니까? F-테스트 계산기는 두 개 이상의 그룹의 분산을 비교하여 서로 유의하게 다른지 여부를 확인하는 데 사용되는 통...
  • 이상 기체 법칙 계산기란? 이상 기체 법칙 계산기는 이상 기체 법칙 방정식을 사용하여 이상 기체의 속성을 계산하는 데 사용되는 도구입니다. ...
  • 빔 처짐 계산기란? 빔 처짐 계산기는 하중을 받을 때 빔이 겪는 굽힘 또는 변위의 양을 결정하는 데 사용되는 도구입니다. 빔 재료, 길이, 단...
  • 직사각형 웨어 유량 계산기란 무엇입니까? 직사각형 웨어 유량 계산기는 직사각형 웨어를 통한 물의 유량(방류)을 추정하는 데 사용되는 도구입니다...
  • 루이스 기어 강도 계산기란? 루이스 기어 강도 계산기는 루이스 굽힘 방정식에 따라 기어 이빨의 굽힘 강도를 계산하는 데 사용되는 도구입니다. ...