„Reynolds“ skaičiaus skaičiuoklė

Įveskite reikšmę ir spustelėkite skaičiuoti. Bus rodomas rezultatas.

Pasirinkite skaičiuoklę :
tankis (ρ) :
kg/m3
Velocity (V) :
m/s
Būdingas ilgis (I) :
m
klampumas (μ) :
Ns/m2

Rezultatas:

Kas yra „Reynolds“ skaičiaus skaičiuoklė?

A Reynolds skaičiaus skaičiuoklė yra įrankis, kuris apskaičiuoja reynolds numerį (re) , kuris nustato, ar skysčio srautas yra laminarinis , turbulentinis , ar pereinamojo laikotarpio būsena. Reynoldso numeris yra be matmens kiekis, naudojamas skysčių mechanikoje, norint analizuoti srauto elgseną vamzdžiuose, aerodromuose ir atvirus kanalus.

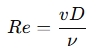
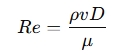
Reynolds numerio formulė yra:

arba

Kur:

  • re = Reynolds numeris (be matmenų)
  • ρ (rho) = skysčio tankis (kg/m³)
  • v = srauto greitis (m/s)
  • d = būdingas ilgis (pvz., vamzdžio skersmuo metrais)
  • μ (mu) = dinaminis klampumas (Pa · s arba n · s/m²)
  • ν (nu) = kinematinis klampumas (m²/s)

Reynolds numerio klasifikacija:

  • re <2000 laminarinis srautas (sklandus, tvarkingas srautas) 2 000 pereinamasis srautas (nestabilus srautas)
  • re> 4000 turbulentinis srautas (chaotiškas, besisukantis srautas)

Kodėl reikia naudoti „Reynolds“ skaičiaus skaičiuoklę?

  1. nustato srauto tipą - padeda klasifikuoti skysčio judesį kaip laminarinį, pereinamąjį ar turbulentinį.
  2. naudinga inžinerijos ir HVAC - padeda projektuoti efektyvius vamzdynus, vėdinimo sistemas ir orlaivių aerodinamiką.
  3. prognozuoja slėgio nuostolius - Vamzdynuose turbulentinis srautas padidina trintį ir energijos nuostolius.
  4. padidina efektyvumą - optimizuoja skysčio tRansportas tokiose pramonės šakose kaip naftos, dujos ir vandens valymas.
  5. Greiti ir tikslūs rezultatai - taupo laiką, palyginti su rankiniais skaičiavimais, užtikrinant tikslumą sudėtinguose inžinerijos projektuose.

Kaip naudoti „Reynolds“ skaičiaus skaičiuoklę

  1. įvesties skysčio savybės:
    • skysčio tankis (ρ) arba kinematinis klampumas (ν)
    • dinaminis klampumas (μ), jei reikia
  2. Įveskite srauto sąlygas:
    • greitis (v) iš skysčio
    • Būdingas ilgis (D) (pvz., Vamzdžio skersmuo)
  3. Apskaičiuokite Reynolds numerį (Re):
    • Skaičiuoklė taiko formulę ir nustato srauto tipą.

Kada naudoti „Reynolds“ skaičiaus skaičiuoklę

  1. vamzdžių srauto analizė - numatyti FLOW elgesys santechnikoje, naftos vamzdynuose ir pramoninėse sistemose.
  2. aerodinamika ir orlaivių dizainas - Norėdami ištirti oro srautą aplink sparnus, sraigtus ir turbines.
  3. hidraulinės sistemos - efektyviam siurblio ir vožtuvų pasirinkimui vandens tiekimo tinkluose.
  4. šilumokaičiai ir aušinimo sistemos - Norėdami optimizuoti šilumos perdavimą radiatoriuose, kondensatoriuose ir oro kondicionieriuose.
  5. jūrų ir automobilių inžinerija - įvertinti vandens ir oro pasipriešinimą laivų korpusuose ir automobilių kūnuose.
Ar ši skaičiuoklė jums padėjo?
Dėkojame už atsiliepimą
Atsiprašome. :(
Kas nutiko?
Apie šį skaičiuotuvą
Sukurta  2024/12/7
Atnaujinta :
Peržiūros :
Autorius:
Siųsti žinutę autoriams:
Paieškos skaičiuotuvas

Naršykite tūkstančius nemokamų skaičiuotuvų, kuriais pasitiki milijonai visame pasaulyje.


Naudingas skaičiuotuvas