Kalkulatory twierdzenia Bernoulli

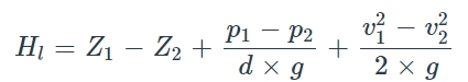
➤ Oblicz stratę głowy
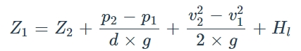
➤ Oblicz głowicę statyczną Z1
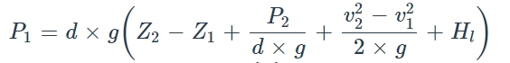
➤ Oblicz ciśnienie P1
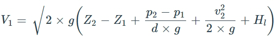
➤ Oblicz prędkość V1

Oblicz stratę głowy


HL = Utrata głowy
d = Gęstość
g = Przyśpieszenie grawitacyjne

Wprowadź swoje wartości:

Głowa statyczna Z1:
Głowa statyczna Z2:
Ciśnienie P1:
Ciśnienie P2:
Prędkość V1:
Prędkość V2:
Gęstość:
Przyśpieszenie grawitacyjne:

Wynik:

Utrata głowy:
Foot

Oblicz głowicę statyczną Z1


d = Gęstość
g = Przyśpieszenie grawitacyjne
HL = Utrata głowy

Wprowadź swoje wartości:

Głowa statyczna Z2:
Ciśnienie P1:
Ciśnienie P2:
Prędkość V1
Prędkość V2:
Gęstość:
Przyśpieszenie grawitacyjne:
Utrata głowy:

Wynik:

Głowa statyczna Z1
Foot

Oblicz ciśnienie P1


d = Gęstość
g = Przyśpieszenie grawitacyjne
HL = Utrata głowy

Wprowadź swoje wartości:

Głowa statyczna Z1::
Głowa statyczna Z2:
Ciśnienie P2:
Prędkość V1:
Prędkość V2:
Gęstość:
Przyśpieszenie grawitacyjne:
Utrata głowy:

Wynik:

Ciśnienie P1:
Pound/Foot2

Oblicz prędkość V1


d = Gęstość
g = Przyśpieszenie grawitacyjne
HL = Utrata głowy

Wprowadź swoje wartości:

Głowa statyczna Z1:
Głowa statyczna Z2:
Ciśnienie P1:
Ciśnienie P2
Prędkość V2:
Gęstość:
Przyśpieszenie grawitacyjne:
Utrata głowy:

Wynik:

Głowa statyczna Z1
Foot/Second

Co to jest kalkulator twierdzenia Bernoulli?

A kalkulator twierdzenia Bernoulli to narzędzie używane do rozwiązywania problemów dynamiki płynów w oparciu o równanie Bernoulli. Stosuje zasadę, że w przepływie uspokajającym nieściśliwego, niewidocznego płynu, całkowita energia mechaniczna (ciśnienie, kinetyka i energia potencjalna) pozostaje stała wzdłuż dowolnego usprawnienia. Kalkulator pomaga w znalezieniu nieznanych zmiennych, takich jak ciśnienie płynu, prędkość lub wysokość, stosując równanie Bernoulli.


Dlaczego warto używać kalkulatora twierdzenia Bernoulli?

A Bernoulli Twierdzenie kalkulator jest używany, ponieważ:

  • Upraszcza obliczenia złożone : automatyzuje rozwiązanie równania Bernoulli, dzięki czemu płynne dynamiczneProblemy CS łatwiej do rozwiązania.
  • zapewnia dokładność : daje precyzyjne wyniki, co jest kluczowe w inżynierii i fizyce.
  • oszczędza czas : Zamiast ręcznego obliczania i rozwiązywania równań kalkulator zapewnia szybkie wyniki, co jest korzystne w zadaniach projektowych i analiz.

Kiedy użyć kalkulatora twierdzenia Bernoulli?

użyłbyś kalkulatora twierdzenia bernoulli w sytuacjach, gdzie:

  1. Projektowanie systemów płynów : Inżynierowie używają go do określenia zmian prędkości płynu, ciśnienia i wysokości w systemach takich jak rurociągi lub systemy HVAC.
  2. Analiza przepływu powietrza : Pomaga obliczyć prędkość powietrza lub zrozumieć przepływ powietrza na skrzydłach samolotów.
  3. Analiza przepływu wody : Pomaga w obliczeniuróżnice ciśnienia i prędkość przepływu w systemach lub rurach.
  4. weryfikacja systemów fizycznych : Służy do potwierdzenia zachowania płynów w różnych konfiguracjach, zapewniając, że przestrzegają zasady zachowania energii mechanicznej.
Czy ten kalkulator Ci pomógł?
Dziękujemy za opinię
Przepraszamy. :(
Co poszło nie tak?
Informacje o tym kalkulatorze
Utworzono w  2025/1/26
Zaktualizowano :
Wyświetlenia :
Autor:
Wyślij wiadomość do autorów:
Wyszukaj kalkulator

Przeglądaj tysiące darmowych kalkulatorów, którym zaufały miliony ludzi na całym świecie.


Przydatny kalkulator