Kalkulačka

Zadajte hodnotu a kliknite na vypočítať. Zobrazí sa výsledok.

Vzorec:
Volume = (1/3) pi; r 2 H

polomer (r) :
výška (h) :

Výsledok:

Šikmá výška (l) kužeľa
[ Sqrt(r² + h²) ] :
objem kužeľa
[ (1/3)πr²h ] :
zakrivená plocha povrchu(CSA) kužeľa
[ πrl ] :
Celková povrchová plocha (TSA) kužeľa
[ πr(l+r) ] :

Čo je kužeľová kalkulačka?

Kalkulačka kužeľa je nástroj, ktorý sa používa na výpočet rôznych vlastností kužeľa, ako je jeho objem, povrchová plocha, výška šikmu alebo výška kužeľa. Kužeľ je trojrozmerný geometrický tvar s kruhovým základom, ktorý sa hladko zužuje od základne do bodu nazývaného vrchol.


Prečo používať kalkulačku kužeľa?

  • zjednodušuje výpočty:
  • Presnosť:
  • Vzdelávací nástroj:
  • Užitočné v aplikáciách v reálnom svete:

Ako funguje kalkulačka kužeľa?

Kalkulačka môže vypočítať rôzne vlastnosti kužeľa v závislosti od daných vstupov. Tu sú niektoré z najbežnejších výpočtov:

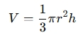
  1. Objem kužeľa :
    Vzorec pre objem kužeľa je:

    kde:

    • v je objem.
    • r je polomer základne.
    • h je výška kužeľa.
      Kalkulačka vyžaduje polomer a výšku na výpočet objemu.
  2. povrchová plocha kužeľa :
    Vzorec pre povrchovú plochu kužeľa je:

    kde:

    • a je plocha povrchu.
    • r je polomer základne.
    • l je sklonená výška kužeľa.
      Kalkulačka môže vypočítať povrchoblasť, ak je k dispozícii výška polomeru a šikmej výšky.
  3. Šikmá výška kužeľa :
    Ak poznáte výšku a polomer, výška sklonu je možné vypočítať pomocou Pythagoreanovej vety:

    kde:

    • l je výška sklonu.
    • r je polomer.
    • h je výška.
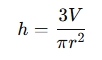
  4. Výška kužeľa :
    Výška sa dá vypočítať, ak sú známe objem a polomer pomocou vzorca:

    kde:

    • h je výška.
    • v je objem.
    • r je polomer.
Pomohla vám táto kalkulačka?
Ďakujem za spätnú väzbu
Je nám ľúto. :(
Čo sa pokazilo?
O tejto kalkulačke
Vytvorené o  2024/12/17
Aktualizované :
Zobrazenia :
Autor:
Poslať správu autorom:
Hľadať kalkulačku

Preskúmajte tisíce bezplatných kalkulačiek, ktorým dôverujú milióny ľudí na celom svete.


Užitočná kalkulačka