Калкулатор филтера ХФ-а

Унесите вредност и кликните на израчунај. Резултат ће бити приказан.


р у = отпорност на улазу
р оут = отпорност на излазу

Унесите своје вредности:

фреквенција :
MHertz
Отпорност на улазу :
Ohms
излазни отпор :
Ohms
Q - Value:

Резултат:

индуктивност :
капацитет:
L1: uH
C1: pF
L2: uH
C2: pF
C3: pF

Шта је ЦХАЛЛАТОР ХФ филтер?

А ХФ (висока фреквенција) Калкулатор филтера је алат који се користи за дизајн и анализу Фреквенцијски филтери у радиофреквентној (РФ) и комуникационим системима. Израчунава вредности компоненти за филтере попут нископропусни, високи пролаз, папучице и филтере за бендове који раде у ХФ (3-30 МХз) фреквенцијски опсег .

.

Зашто користити калкулатор филтера ХФ?

  • да бисте уклонили нежељену буку и сметње у РФ склоповима.
  • за дизајн ефикасних РФ комуникацијских система , укључујући антене и предајнике.
  • то оптимИзе пренос сигнала за радио у кратким водама, аматерски радио и телекомуникационе мреже.
  • да спречи изобличење сигнала у високофреквентним електронским уређајима.

Како функционира Цалцулатор Цалцулатор ХФ?

  1. Потребни улаз :

    • Тип филтера (ЛОВ-ПАСС, ХИГХ-ПАСС, БАНД-ПАСС, БАНД-СТОП)
    • Фреквенција прекида (ФЦ) у МХз
    • Отпорност на учитавање (Р) у охмс
    • наруџба филтра (број фаза за оштрије роло)
  2. Обрада :

    • Користи стандардне дизајнерске једначине филтра (Буттервортх, Цхебисхев или Бессел филтери).
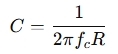
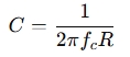
    • за ниски РЦ филтер :
    • за високи РЦ филтер :
    • за ЛЦ филтери , израчунава индуктивност (Л) и капацитет (ц) вредности засноване на стандардним формулама за РФ филтер.
  3. Излаз :

    • Кондензатор и индуктор вредности за конструкцију ХФ филтера.
    • карактеристике фреквенција фреквенције (пригушење и опсег ширине).

Када да користите ЦХАЛЛАТОР ХФ филтер?

  • у РФ и бежичној комуникацији : за филтрирање сигнала у радио-таласима, антенама и предајницима.
  • у аудио обради : Елиминисати нежељене фреквенције у аудио опреми.
  • у обради сигнала и дизајн електронике : дизајн РФ појачала, мешалице и модулаторима .
  • .
  • У ЕМИ / ЕМЦ филтрирање : да се смањи електромагнетско уплитање у кругове.
Да ли вам је овај калкулатор помогао?
Хвала на повратним информацијама
Жао нам је. :(
Шта је пошло по злу?
О овом калкулатору
Направљено у  2025/1/7
Ажурирано :
Прегледи :
Аутор:
Пошаљи поруку ауторима:
Претражи калкулатор

Истражите хиљаде бесплатних калкулатора којима верују милиони широм света.


Корисни калкулатор