Máy tính điện trở điện áp điện áp

Nhập bất kỳ hai trong số các giá trị sau và nhấn nút Tính toán .

Nhập giá trị của bạn:

Điện áp (Volts):
hiện tại (Amps):
Điện trở (Ohms):
Công suất (Watts):

Điện áp, dòng điện, điện trở và máy tính năng lượng là bao nhiêu?

A điện áp, dòng điện, điện trở và máy tính công suất là một công cụ được sử dụng để tính toán mối quan hệ giữa điện áp (v) , dòng điện (i) , điện trở (r) power (p) Bốn đại lượng này là cơ bản để hiểu và phân tích các mạch điện và hành vi của chúng.


Tại sao sử dụng điện áp, dòng điện, điện trở và máy tính năng lượng?

  1. Đơn giản hóa các tính toán - Nó cho phép tính toán nhanh chóng và chính xác cho các tham số điện khác nhau, giúp phân tích các mạch dễ dàng hơn.
  2. Thiết kế eMạch fficient - giúp xác định giá trị thành phần như điện trở hoặc nguồn điện để đáp ứng các yêu cầu điện áp, dòng điện và năng lượng cụ thể.
  3. Ngăn chặn quá tải - Đảm bảo các mạch được thiết kế để ngăn chặn quá mức điện áp hoặc hiện tại , bảo vệ các thành phần và thiết bị khỏi bị hư hại.
  4. Tối ưu hóa mức tiêu thụ năng lượng -giúp đảm bảo rằng việc sử dụng năng lượng là hiệu quả , rất quan trọng đối với các thiết kế tiết kiệm năng lượng.
  5. An toàn - giúp tính toán các giới hạn điện áp, dòng điện và năng lượng an toàn để tránh quá nóng hoặc làm hỏng các thành phần.

Làm thế nào để một máy tính điện áp, dòng điện, điện trở và công suấtRK?

Mối quan hệ giữa các tham số điện này được điều chỉnh bởi OHM Định luật và phương trình sức mạnh . Máy tính sử dụng các phương trình này để tìm biến chưa biết khi ba phương trình còn lại được biết đến.

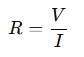
1. Luật Ohm

Luật OHM là công thức nền tảng cho các mối quan hệ giữa điện áp, dòng điện và điện trở:

Ở đâu:

  • V = điện áp (volts)
  • i = current (amps)
  • r = Kháng (ohms)

Từ luật Ohm, bạn có thể sắp xếp lại để giải quyết cho bất kỳ trong ba biến số:

  • hiện tại (i) :
  • Kháng chiến (r) :

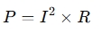
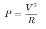
2. Phương trình công suất

Công suất trong mạch điện là tốc độ sử dụng hoặc truyền năng lượng và được đưa ra bởi:

Ở đâu:

  • p = power (watts)
  • V = điện áp (volts)
  • i = current (amps)

Ngoài ra, sử dụng luật của Ohm, sức mạnh có thể được thể hiện là:

  • Về mặt hiện tại và kháng cự :
  • Về mặt điện áp và điện trở :

Khi nào nên sử dụng điện áp, dòng điện, điện trở và máy tính năng lượng?

  1. Thiết kế mạch - Khi thiết kế mạch điện, máy tính giúp chọn các giá trị điện trở phù hợp, nguồn điện áp xếp hạng hiện tại cho compOnents.
  2. Khắc phục sự cố - Nếu bạn cần xác định lý do tại sao một mạch không hoạt động chính xác (ví dụ: giảm điện áp, dòng điện quá mức), máy tính có thể giúp các vấn đề chính xác.
  3. Lựa chọn cung cấp pin và điện - giúp xác định chính xác điện áp hiện tại để chọn nguồn điện và pin cho thiết bị.
  4. Tính toán hiệu quả năng lượng -Khi đánh giá hoặc thiết kế Mạch năng lượng thấp hoặc các thiết bị như đèn LED , máy tính giúp đảm bảo mức tiêu thụ điện năng nằm trong giới hạn mong muốn.
  5. An toàn và tuân thủ - đảm bảo rằng các mạch được thiết kế với giới hạn an toàn cho hiện tại , điện áp power , tuân thủ các tiêu chuẩn và quy định của ngành.
Máy tính này có giúp ích cho bạn không?
Cảm ơn phản hồi
Chúng tôi rất tiếc. :(
Có vấn đề gì không ổn?
Về máy tính này
Được tạo tại  2025/1/31
Đã cập nhật :
Lượt xem :
Tác giả:
Gửi tin nhắn cho tác giả:
Máy tính tìm kiếm

Khám phá hàng ngàn máy tính miễn phí được hàng triệu người trên toàn thế giới tin dùng.


Máy tính hữu ích