標準溫度與壓力計算器

輸入值並按計算,將顯示結果。

STP 下的體積 = 體積 x ( 273.15 / 溫度 ) x ( 壓力 / 760 )
STP 下的摩爾 = STP 下的體積 / 22.4

輸入數值:

體積:
Liters
溫度:
Kelvin
壓力:
Torr

結果:

STP 成交量:
STP 的摩爾:
什麼是標準溫度和壓力 (STP) 計算器?

標準溫度和壓力 (STP) 計算器是一種用於根據標準參考條件轉換氣體體積、壓力和溫度的工具。這些條件有助於比較不同實驗和工業製程的氣體特性。 <小時> 為什麼要使用 STP 計算機?

  • 氣體體積比較:由於氣體會隨著溫度和壓力而膨脹和收縮,因此 STP 提供了一致的參考。
  • 理想氣體定律應用:用於化學、物理和工程中的氣體計算。
  • 科學與工業流程:幫助標準化實驗室、製造和環境研究的條件。
  • 航空與氣象學:用於計算空氣密度和大氣條件。
<小時> STP 計算器如何運作?
    <裡>

    需要輸入

    • 初始壓力(P1)
    • 初始溫度(T1)
    • 初始體積(V1)
    • 所需標準條件(IUPAC、NIST 或自訂)
    <裡>

    處理

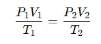
    • 使用理想氣體定律混合氣體定律計算 STP 下的等效體積:

      在哪裡:
      • P1、V1、T1 是初始條件。
      • P2、V2、T2 是 STP 條件。
      • 求解 V2(STP 下的體積):
    <裡>

    輸出

    • 標準溫度 (STP) 下的體積,以公升或立方公尺為單位。
<小時> 何時使用 STP 計算機?
  • 化學與物理:比較反應中的氣體體積。
  • 在天然氣工業和工程中:用於計算天然氣儲存和流速。
  • 環境科學:測量空氣污染和溫室氣體排放。
  • 在氣象學中:根據標準條件調整大氣資料。
這個計算機對您有幫助嗎?
感謝您的回饋
我們很抱歉. :(
出了什麼問題?
關於此計算器
創建於  2025/2/25
已更新 :
觀看次數 :
作者:
向作者發送訊息:
搜尋計算器

探索全球數百萬人信賴的數千個免費計算器.


有用的計算器
  • 什麼是和積三角恆等式計算器? 和積三角恆等式計算器是一種利用三角恆等式將三角函數(正弦和餘弦)的和或差簡化為乘積形式的工具。 這些公式有助於將總和或差轉...
  • 什麼是寬頂堰計算器? 寬頂堰計算器是一種用來計算寬頂堰流速的工具,寬頂堰是常用於明渠流的溢流結構。寬頂堰具有平坦而寬闊的頂部(與尖頂堰相反),可讓水從頂部流...
  • 什麼是壓力轉換器? 壓力轉換器是一種用來將壓力值從一個單位轉換為另一個單位的工具或計算器。壓力是衡量單位面積所施加力的物理量,常用於物理、工程、氣象學等各領...
  • 酸計算器的當量質量是多少? 酸當量質量計算器是一種幫助計算酸當量質量(或當量重量)的工具。酸的當量質量是在化學反應中能夠捐贈或接受一摩爾氫離子(H⁺)的酸的...
  • 什麼是彈性位能計算器? 彈性位能計算器是一種幫助計算彈性物體(例如彈簧或橡皮筋​​)在壓縮或拉伸時儲存的能量的工具。這種能量稱為彈性位能,其計算公式為: ...
  • 液壓缸的速度是多少? 液壓缸的速度是指當液壓油被泵入或泵出時,液壓缸活塞移動的速率。運動速度受液壓油的流量、氣缸的尺寸以及氣缸上的負載等多種因素的影響。根據...