Standard hőmérsékleti és nyomás számológép
Írja be az értéket és kattintson a számításra. Megjelenik az eredmény.
Mi a standard hőmérséklet és nyomás (STP) számológép?
a standard hőmérséklet és nyomás (STP) számológép egy eszköz, amely a gázmennyiségek, nyomás és hőmérsékletek konvertálására szolgál a szokásos referenciakörülmények alapján. Ezek a feltételek segítenek a gáz tulajdonságainak összehasonlításában a különböző kísérletek és az ipari folyamatok között.
Miért használjon STP számológépet?
- Gázmennyiség -összehasonlítások : Mivel a gázok a hőmérsékleten és a nyomással összehúzódnak és összehúzódnak, az STP következetes referenciát biztosít.
- Ideális gázjogi alkalmazások : Kémiában, fizikában és tervezésben használják a gázszámításhoz.
- Tudományos és ipari folyamatS : Segít a laboratóriumok, a gyártás és a környezeti tanulmányok feltételeinek szabványosításában.
- Repülési és meteorológia : A levegő sűrűségének és a légköri körülmények kiszámításához használják.
Hogyan működik az STP számológép?
-
Bemenet szükséges :
- Kezdeti nyomás (P1)
- Kezdeti hőmérséklet (T1)
- Kezdeti kötet (v1)
- A kívánt standard állapot (IUPAC, NIST vagy CAMIT)
-
feldolgozás :
- Az ideális gáz törvény és kombinált gáz törvény használja az ekvivalens mennyiség kiszámításához az STP -n:
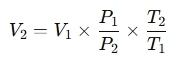
Ahol:- P1, v1, t1 kezdeti feltételek.
- P2, v2, t2 STP körülmények.
- Megoldja a V2 -t (térfogat az STP -n):

- Az ideális gáz törvény és kombinált gáz törvény használja az ekvivalens mennyiség kiszámításához az STP -n:
-
output :
- térfogat az stp -nél liter vagy köbméterben.
Mikor kell használni egy STP számológépet?
- a kémiában és a fizikában : A gázmennyiségek összehasonlításához a reakciókban.
-
a gáziparban és a mérnöki műszakban : A gáztárolás és az áramlási sebesség kiszámításához. - a környezettudományban : A légszennyezés és az üvegházhatású gázok kibocsátásának mérése.
- a meteorológiában : A légköri adatok standard feltételeinek beállításához.
Segített ez a számológép?
Köszönjük a visszajelzést
Keresési számológép
Fedezze fel a több ezer ingyenes számológépet, amelyekben milliók bíznak világszerte.